Code
library(seewave)October 1, 2025
Understand the most common metrics of acoustic structure
Get familiar with manipulating and formatting sound in the R environment
seewave provides a wide variety of tools to accurately assess sound properties in the R environment. It is an extensive package with lots of features. The package allows to visualize and measure characteristics of time, frequency and amplitude of sounds. The tools are arranged in a modular way (each analysis in its own function) which allows combining them to generate more elaborate analyzes.
The majority of the functions of seewave work on wave objects (but not on audio files in folders). Here we will see examples of some of these tools, focusing on those that are potentially more useful for the study of vocal behavior in animals.
First we must load the package:
We can see the description of the package seewave in this way:
seewave brings several objects that we can use as an example to explore its functions. We can call them with the data () function:
⚠ data() only works to load examples that come with the packages by default, not to load your own audio files!!
We can see the information of each of them using ?:
Exercise
What kind of object is tico?
What is the sampling rate and duration?
You can create the oscillogram of the entire “wave” object like this:
We can also generate it for a segment:
The visualizations in seewave allow a high degree of customization. For example change the color:
As with most seewave functions many other components of the chart can be modified, for example:

We can also generate other representations of “amplitude vs. time”, such as “amplitude envelopes”:
We can superimpose it on the oscillogram to facilitate comparison:
Sliding window for time series
Sliding windows allow you to smooth out the contours of a time series by calculating an average value around the “neighborhood” of values for a given value. In the case of amplitude envelope the size of the “neighborhood” is given by the length of the window (“wl”). The larger the window length, the greater the smoothing of the curve:

This animation shows how the amplitude envelope of the “tico” object is smoothed with a 512-point window:

… or a 1024 point window:

We can use these amplitude “hills” to define segments in the “wave” object using the timer() function. The “ssmooth” argument allows us to use a sliding window:

$s
[1] 6.013985e-02 5.918741e-02 5.134111e-02 4.535434e-05 5.728253e-02
[6] 4.535434e-05 6.667088e-03 4.535434e-05 4.966300e-02
$p
[1] 2.208756e-02 1.004599e-01 8.272631e-02 2.267717e-04 8.594647e-02
[6] 4.535434e-05 8.132033e-02 4.988977e-04 4.535434e-05 6.068410e-02
$r
[1] 0.6552769
$s.start
[1] 0.02208756 0.18268727 0.32460099 0.37616887 0.46216069 0.51948857 0.60085425
[8] 0.60802024 0.60811095
$s.end
[1] 0.08222741 0.24187468 0.37594210 0.37621422 0.51944322 0.51953393 0.60752134
[8] 0.60806559 0.65777395
$first
[1] "pause"
The output is a list with the following elements:
Exercise
timer() the last pulse is divided into 2 detections, one very small at the beginning and another containing the rest of the pulse. Change the “ssmooth” argument until this section is detected as a single pulse.
We can visualize the amplitude in the frequency domain using power spectra. The meanspec() function calculates the average distribution of energy in the frequency range (the average power spectrum):

[1] 256
The spec() function, on the other hand, calculates the spectrum for the entire signal:
The result of spec() or meanspec() can be input into the fpeaks() function to calculate amplitude peaks:
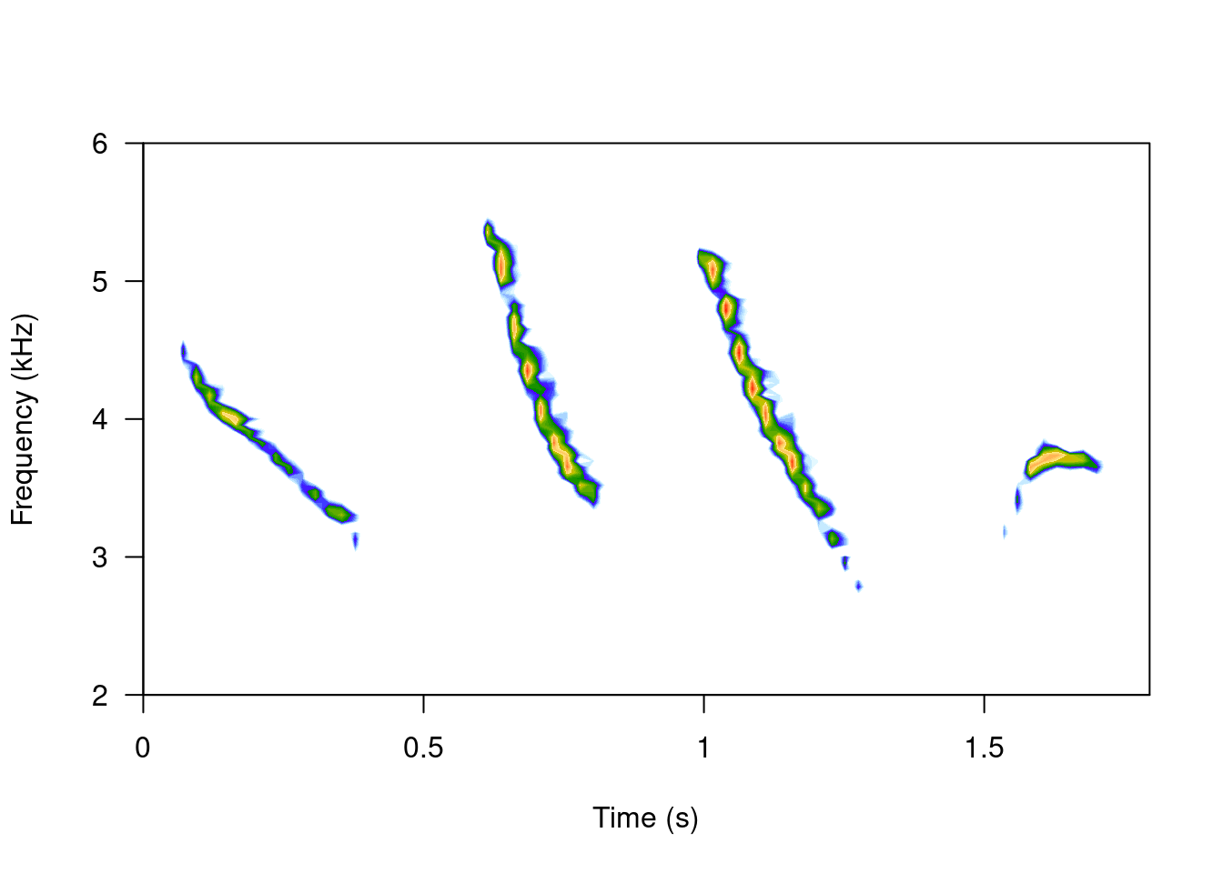
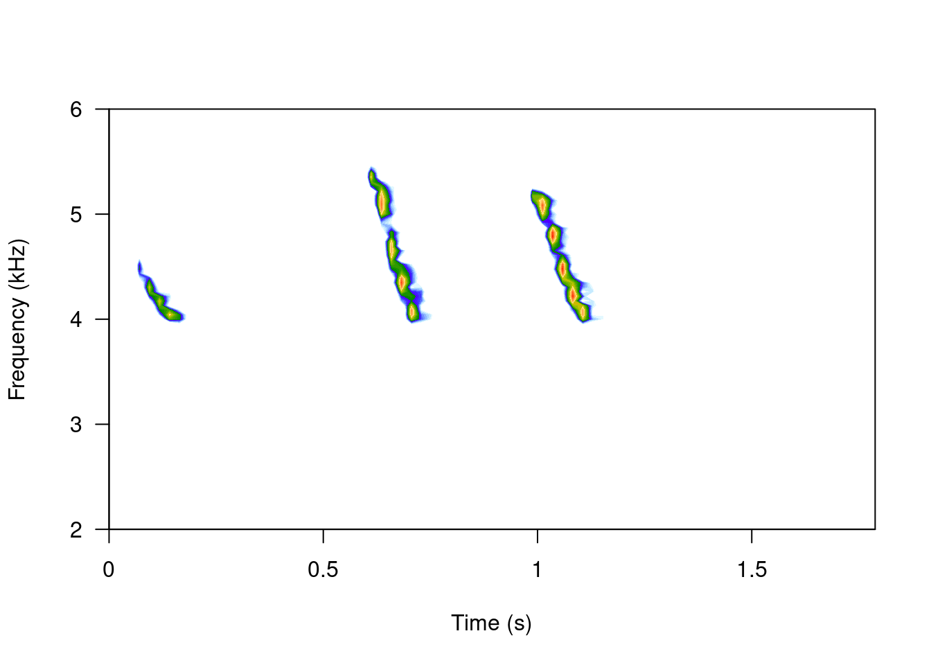
We can cut segments of a “wave” object:
Add segments:
Remove segments:
Add segments of silence:

[1] 1.794921
[1] 2.794921
Exercise
rev() can reverse the order of a vector:
Filter out frequency bands:


Change frequency (pitch):
# cut the first
tico6 <- cutw(tico, from = 0, to = 0.5, output = "Wave")
# increase frec
tico.lfs <- lfs(tico6, shift = 1000, output = "Wave")
# decrease frec
tico.lfs.neg <- lfs(tico6, shift = -1000, output = "Wave")
# 3 column graph
opar <- par()
par(mfrow = c(1, 3))
# original
spectro(tico6, scale = FALSE, grid = FALSE, flim = c(1, 8), main = "original")
# modified
spectro(tico.lfs, scale = FALSE, grid = FALSE, flim = c(1, 8), main = "1 kHz up")
spectro(tico.lfs.neg, scale = FALSE, grid = FALSE, flim = c(1, 8), main = "1 kHz down")
Apart from the measurements of peak frequency (fpeaks()) and duration (timer()), we can measure many other aspects of the acoustic signals using seewave. For example, we can estimate the fundamental frequency (which refers to the lowest frequency harmonic in the harmonic stack), with the fund() function:

x y
[1,] 0.00000000 NA
[2,] 0.06677027 NA
[3,] 0.13354054 NA
[4,] 0.20031081 NA
[5,] 0.26708108 0.10000000
[6,] 0.33385135 0.07142857
This function uses cepstral transformation to detect the dominant frequency. The autoc() function also measures the fundamental frequency, only using autocorrelation.
Similarly we can measure the dominant frequency (the harmonic with the highest energy):

x y
[1,] 0.00000000 NA
[2,] 0.06677027 NA
[3,] 0.13354054 NA
[4,] 0.20031081 NA
[5,] 0.26708108 0.484375
[6,] 0.33385135 0.625000
Measure statistical descriptors of the amplitude distribution in frequency and time:

| time.P1 | time.M | time.P2 | time.IPR | freq.P1 | freq.M |
|---|---|---|---|---|---|
| 0.0272727 | 0.1090909 | 0.2181818 | 0.1909091 | 3.445312 | 4.263574 |
Measure statistical descriptors of frequency spectra:
| mean | sd | median | sem | mode | Q25 | Q75 | IQR | cent | skewness | kurtosis | sfm | sh | prec |
|---|---|---|---|---|---|---|---|---|---|---|---|---|---|
| 4346.889 | 694.2615 | 4306.641 | 43.39134 | 4349.707 | 3789.844 | 4780.371 | 990.5273 | 4346.889 | 2.224789 | 6.645413 | 0.023993 | 0.6968186 | 43.06641 |
Exercise
specprop()) on the 3 notes (hint: you must cut each note first)
─ Session info ───────────────────────────────────────────────────────────────
setting value
version R version 4.5.0 (2025-04-11)
os Ubuntu 22.04.5 LTS
system x86_64, linux-gnu
ui X11
language (EN)
collate en_US.UTF-8
ctype en_US.UTF-8
tz America/Costa_Rica
date 2025-10-01
pandoc 3.2 @ /usr/lib/rstudio/resources/app/bin/quarto/bin/tools/x86_64/ (via rmarkdown)
quarto 1.7.31 @ /usr/local/bin/quarto
─ Packages ───────────────────────────────────────────────────────────────────
package * version date (UTC) lib source
cachem 1.1.0 2024-05-16 [1] CRAN (R 4.5.0)
cli 3.6.5 2025-04-23 [1] CRAN (R 4.5.0)
devtools 2.4.5 2022-10-11 [1] CRAN (R 4.5.0)
digest 0.6.37 2024-08-19 [1] CRAN (R 4.5.0)
ellipsis 0.3.2 2021-04-29 [3] CRAN (R 4.1.1)
evaluate 1.0.5 2025-08-27 [1] CRAN (R 4.5.0)
fastmap 1.2.0 2024-05-15 [1] CRAN (R 4.5.0)
fs 1.6.6 2025-04-12 [1] CRAN (R 4.5.0)
glue 1.8.0 2024-09-30 [1] CRAN (R 4.5.0)
htmltools 0.5.8.1 2024-04-04 [1] CRAN (R 4.5.0)
htmlwidgets 1.6.4 2023-12-06 [1] RSPM (R 4.5.0)
httpuv 1.6.16 2025-04-16 [1] RSPM (R 4.5.0)
jsonlite 2.0.0 2025-03-27 [1] CRAN (R 4.5.0)
knitr 1.50 2025-03-16 [1] CRAN (R 4.5.0)
later 1.4.2 2025-04-08 [1] RSPM (R 4.5.0)
lifecycle 1.0.4 2023-11-07 [1] CRAN (R 4.5.0)
magrittr 2.0.4 2025-09-12 [1] CRAN (R 4.5.0)
MASS 7.3-65 2025-02-28 [4] CRAN (R 4.4.3)
memoise 2.0.1 2021-11-26 [3] CRAN (R 4.1.2)
mime 0.13 2025-03-17 [1] CRAN (R 4.5.0)
miniUI 0.1.2 2025-04-17 [3] CRAN (R 4.5.0)
pkgbuild 1.4.8 2025-05-26 [1] CRAN (R 4.5.0)
pkgload 1.4.0 2024-06-28 [1] CRAN (R 4.5.0)
profvis 0.4.0 2024-09-20 [1] CRAN (R 4.5.0)
promises 1.3.3 2025-05-29 [1] RSPM (R 4.5.0)
purrr 1.1.0 2025-07-10 [1] CRAN (R 4.5.0)
R6 2.6.1 2025-02-15 [1] CRAN (R 4.5.0)
Rcpp 1.1.0 2025-07-02 [1] CRAN (R 4.5.0)
remotes 2.5.0 2024-03-17 [1] CRAN (R 4.5.0)
rlang 1.1.6 2025-04-11 [1] CRAN (R 4.5.0)
rmarkdown 2.30 2025-09-28 [1] CRAN (R 4.5.0)
rstudioapi 0.17.1 2024-10-22 [1] CRAN (R 4.5.0)
seewave * 2.2.4 2025-08-19 [1] CRAN (R 4.5.0)
sessioninfo 1.2.3 2025-02-05 [3] CRAN (R 4.5.0)
shiny 1.10.0 2024-12-14 [1] CRAN (R 4.5.0)
signal 1.8-1 2024-06-26 [1] CRAN (R 4.5.0)
tuneR 1.4.7 2024-04-17 [1] CRAN (R 4.5.0)
urlchecker 1.0.1 2021-11-30 [1] CRAN (R 4.5.0)
usethis 3.1.0 2024-11-26 [3] CRAN (R 4.5.0)
vctrs 0.6.5 2023-12-01 [1] CRAN (R 4.5.0)
xfun 0.53 2025-08-19 [1] CRAN (R 4.5.0)
xtable 1.8-4 2019-04-21 [3] CRAN (R 4.0.1)
yaml 2.3.10 2024-07-26 [1] CRAN (R 4.5.0)
[1] /home/m/R/x86_64-pc-linux-gnu-library/4.5
[2] /usr/local/lib/R/site-library
[3] /usr/lib/R/site-library
[4] /usr/lib/R/library
* ── Packages attached to the search path.
──────────────────────────────────────────────────────────────────────────────